ENGLISH

  • ¿¬±¸°³¹ß
  • Çٽɱâ¼ú
  • NAD112
  • NPK323
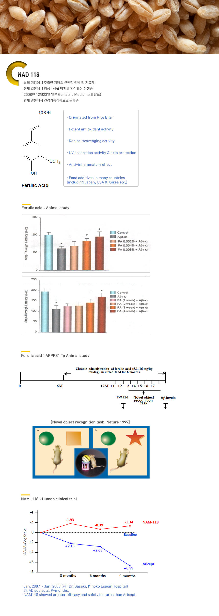
  • NAM118
  • NMS 4001
  • Çã°¡/ÀÎÁ¤

NAM118

º»»ç ¿À½Ã´Â ±æ